• Предмет: Алгебра
  • Автор: scr1ptj
  • Вопрос задан 2 года назад

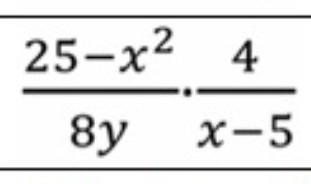
Решить умножение дробей​

Приложения:

Ответы

Ответ дал: aiarunagikizi10
0

Ответ:

-5+х/2y

Объяснение:

можешь помочь мне пожалуйста

Вас заинтересует