Ответы
Ответ дал:
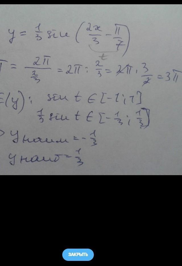
0
Пошаговое объяснение:
МДА УЖ УЖАС СОР-2 УЖАЧИ В ПОСЛЕДУЮЩИХ СОРАХ!)
Приложения:

Вас заинтересует
1 год назад
1 год назад
1 год назад
3 года назад
3 года назад
8 лет назад