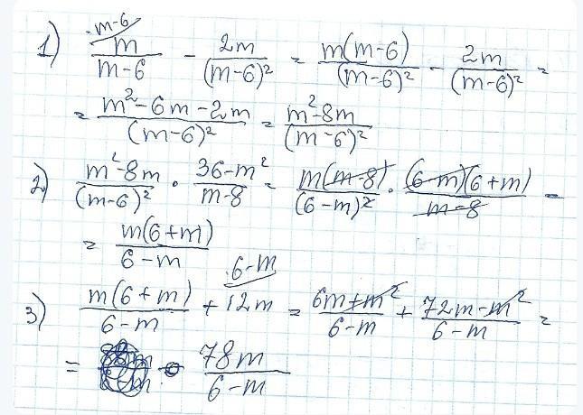
СРОЧНО!!!!!!! Доведіть тотожність (m - 2)/(6 - m) - (m - 3)/(m + 6) + (2m(m - 2))/(m ^ 2 - 36) = 1/(m + 6)
Ответы
Ответ дал:
1
если не правильно сорри
Приложения:

Вас заинтересует
1 год назад
1 год назад
1 год назад
1 год назад
3 года назад