• Предмет: Математика
  • Автор: gkfkfkdkdkxk
  • Вопрос задан 2 года назад

Помогите пожалуйста.........!!!!!!!!

Приложения:

Ответы

Ответ дал: bezobmejen2121
0

Ответ:

Пошаговое объяснение:

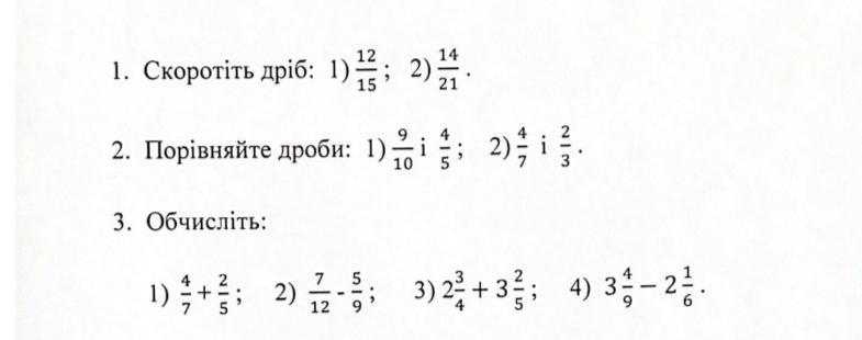
12\15=4\5

14\21=2\3

2) 9\10 и 4\5= 9\10 и 8\10, 9\10 больше чем 8\10

4\7 и 2\3= 12\21 и 14\21, 12\21 меньше чем 14\21

3) 4\7+2\5=20\35+14\35=34\35

7\12-5\9=21\36-20\36=1\36

2 целых 3\4+3 целых 2\5= 11\4+17\5=55\20+68\20=123\20=6 целых 3 \20

3 целых 4\9 - 2 целых 1\6= 31\9 - 13\6= 62\18-39\18=23\18=1 целая 5\18


bezobmejen2121: можно лучший ответ?
Ответ дал: lvv9136
0

Ответ:

Пошаговое объяснение:

1. 1) =4/5; 2) 2/3;

2. 1) 9/10>4/5; 2) 4/7=12/21 < 14/21=2/3; 4/7 < 2/3

3. 1) 4/7+2/5=(4*5+2*7)/35=34/35; 2) 7/12-5/9=(7*3-5*40)/36=1/36;

3) 2³/₄+3²/₅=2+3+(3*5+2*4)/20=5+23/20=6³/₂₀;

4) 3⁴/₉-2¹/₆=3-2+(4*2-3)/18=1⁵/₁₈

Вас заинтересует