Я учусь в немецкой школе и мне задали уравнения с такой формулой
ax²+bx+6=0
D=b²-4ac
x½= - b+√D / 2a премьер в закрепление я очень прошу помогите мне пожалуйста пожалуйста
Приложения:

Ответы
Ответ дал:
1
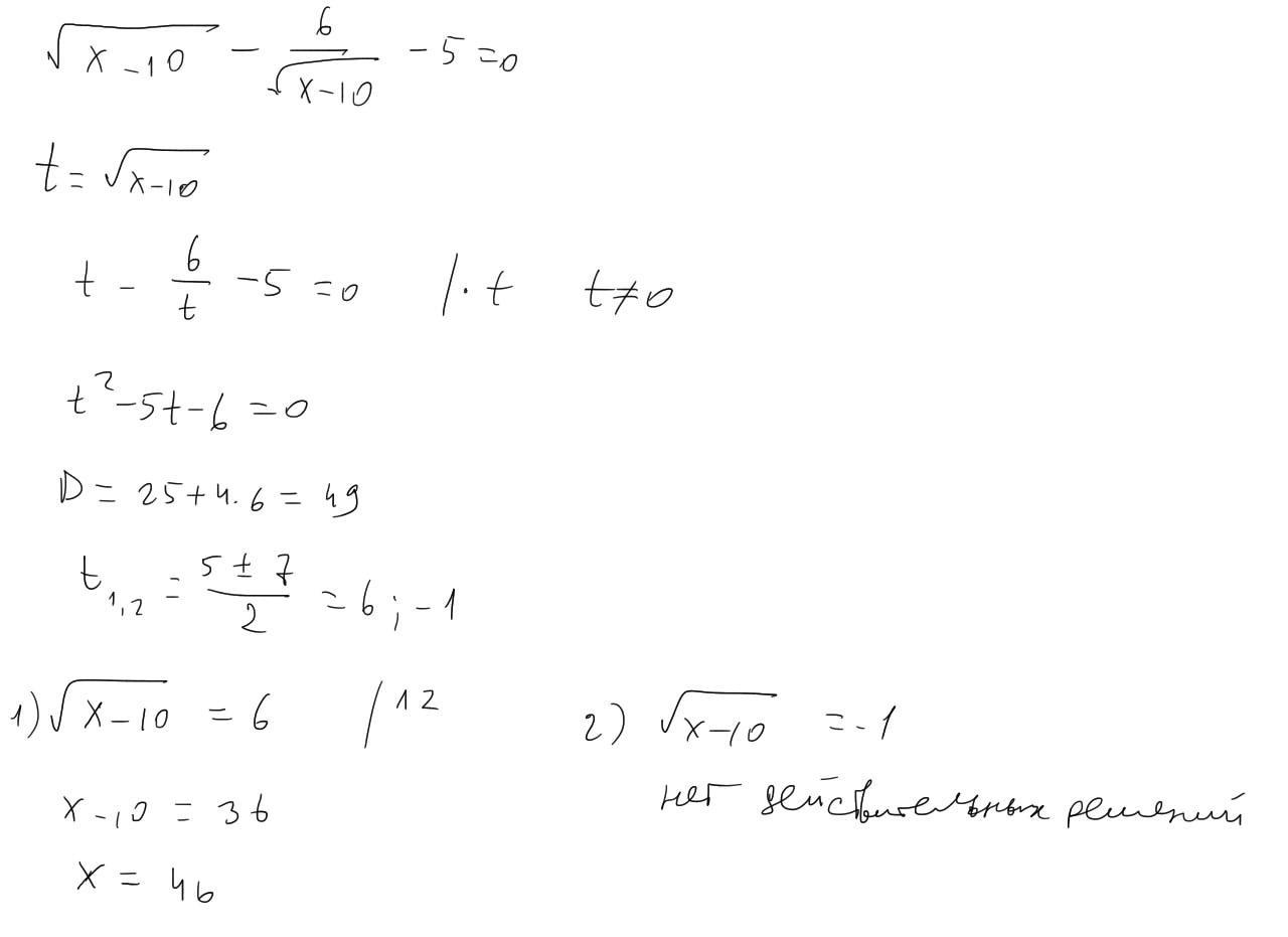
Ответ:
46
Пошаговое объяснение:
Приложения:

katyavelvel08jjh:
спасибо:>
Вас заинтересует
1 год назад
1 год назад
1 год назад
3 года назад
3 года назад
8 лет назад