• Предмет: Математика
  • Автор: whosyourmommy
  • Вопрос задан 2 года назад

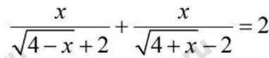
Помогите решить иррациональное уравнение, сколько борюсь с ним ответ не сходится.​

Приложения:

Ответы

Ответ дал: nyshanergazy
0

Ответ:

Оқы өзің шығарсың жазып бермей покаталаьулбсьсашлаалқмлааьсшаьалаша

Вас заинтересует