• Предмет: Алгебра
  • Автор: AndreyRoben
  • Вопрос задан 2 года назад

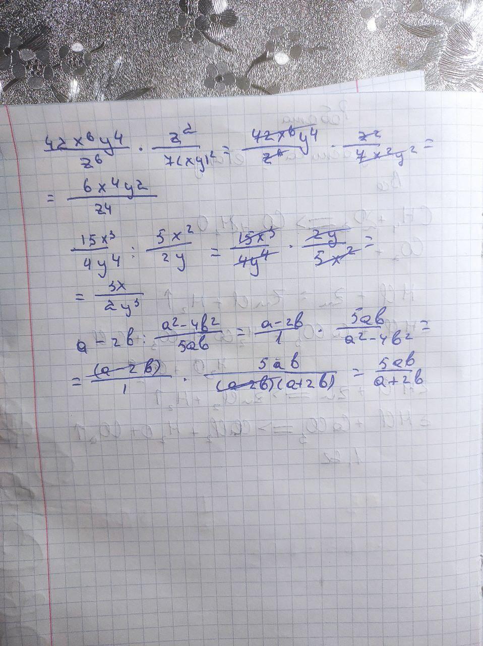
Решите примеры и сократите их до конца с объяснением пожалуйста..

Приложения:

Ответы

Ответ дал: yarikvodolaprivetn
1

Ответ:

(фото)

Объяснение:

Все, что тебе нужно было знать это свойства степени и как работать с дробями, а и формулу видеть( в данном случае это разность квадратов )

Попробуй эти темы подтянуть видео-роликами

Есть хороший канал TutorOnline

Приложения:

AndreyRoben: Огромное спасибо
Вас заинтересует