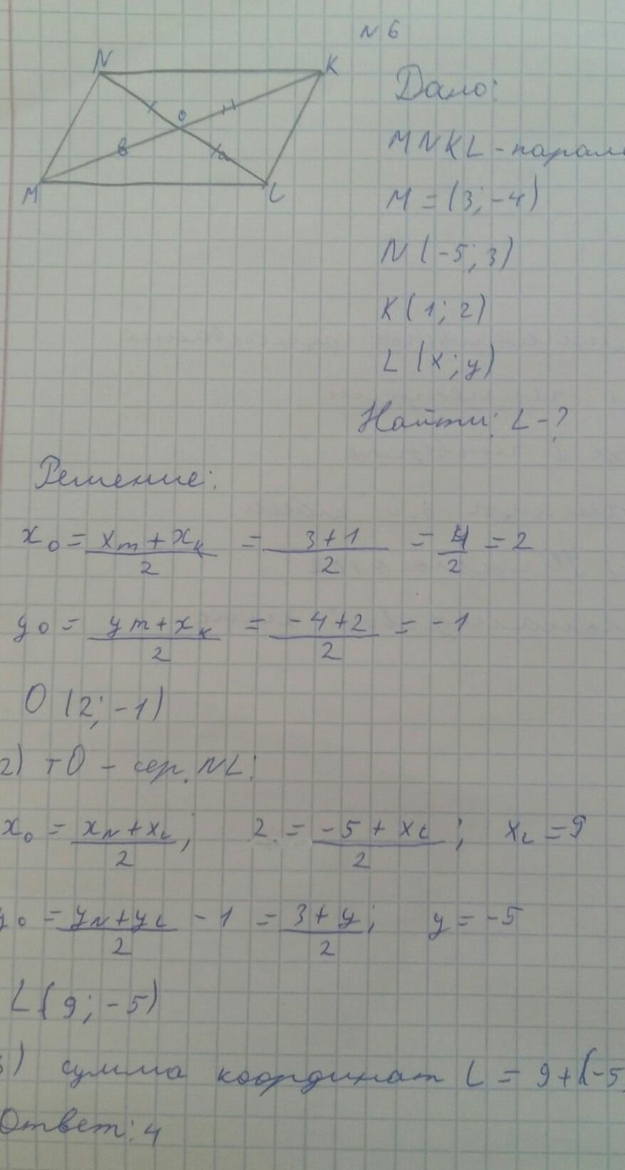
6. Решите задачу. Дан параллелограмм с вершинами М (3;-4), N (-5;3), K(1;2), L (-2, 3). Найдите Найдите длины сторон.
Ответы
Ответ дал:
0
Ответ:
вот объяснение, не знаю правильно или нет
Приложения:

Вас заинтересует
1 год назад
1 год назад
1 год назад
3 года назад
8 лет назад
8 лет назад