• Предмет: Математика
  • Автор: zhannakabduseva
  • Вопрос задан 2 года назад

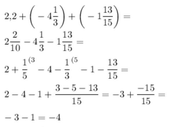
3. Вычислите помогите пожалуйста у меня будет сор ​

Приложения:

Ответы

Ответ дал: evgeniapak104
2

Вот ответ! Получиться - 4! Надеюсь помогла

Приложения:

evgeniapak104: дай потом лучший ответ пожалуйста
zhannakabduseva: спасибо
evgeniapak104: пожалуйста
evgeniapak104: а тебе помочь надо ещё с чем-то?
evgeniapak104: Даш потом лучший ответ пожалуйста
zhannakabduseva: нет не с чем
zhannakabduseva: а хотя надо
Вас заинтересует