Ответы
Ответ дал:
1
Ответ:
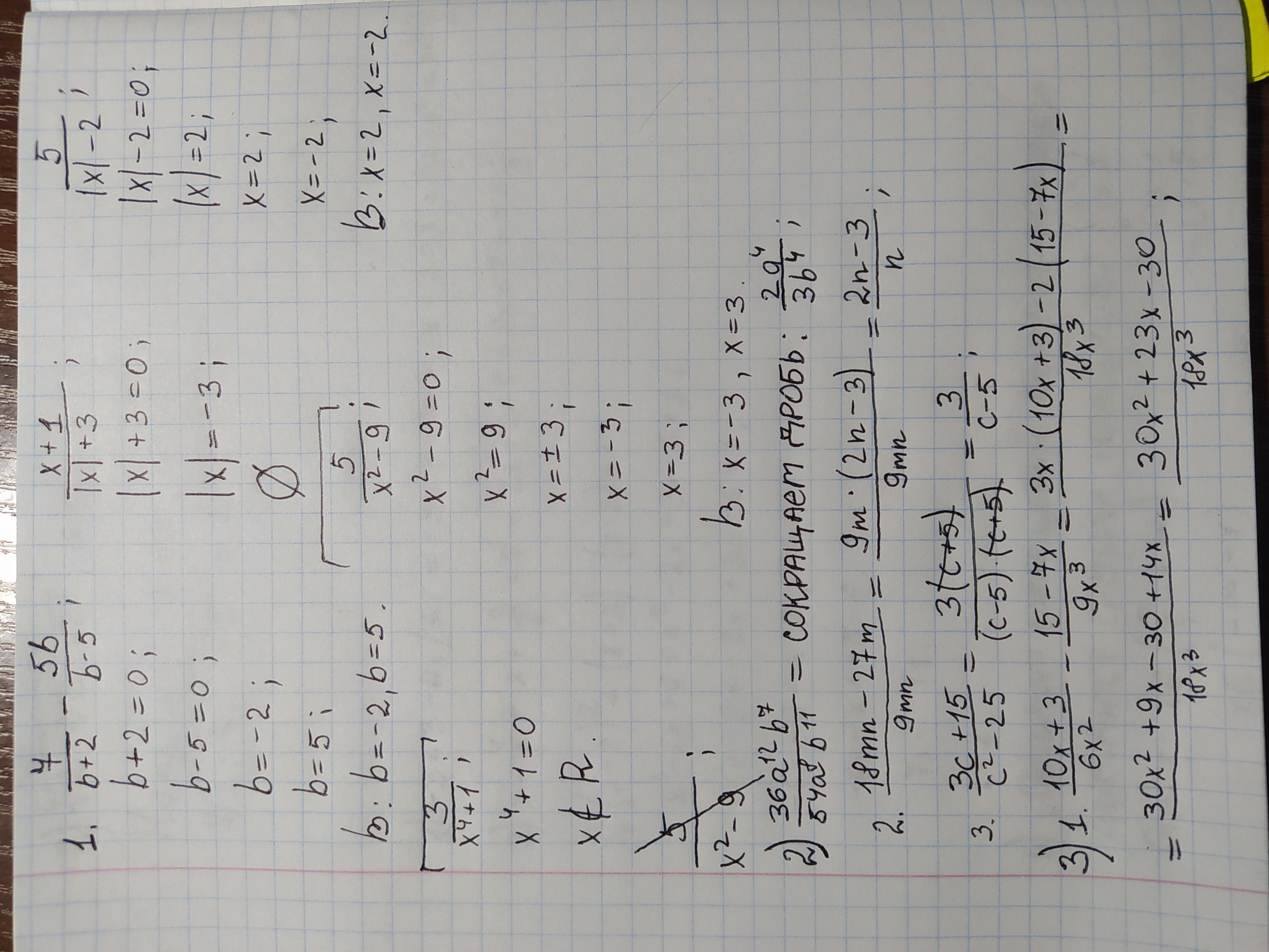
Держи (прости если что-то не аккуратно, просто очень быстро писал)
Приложения:


sofiakarpuk503:
Огромное вам спасибо!
Вас заинтересует
1 год назад
1 год назад
1 год назад
3 года назад
3 года назад
8 лет назад