• Предмет: Алгебра
  • Автор: MrBit
  • Вопрос задан 2 года назад

!!!СРОЧНО ЭТО ЗАДАНИЕ С КОНТРОЛЬНОЙ РАБОТЫ!!!

Сделайте хотя бы один из номеров пожалуйста!!!
Даю 65 баллов!!!​

Приложения:

Ответы

Ответ дал: nikitabotanov237
1

Объяснение:

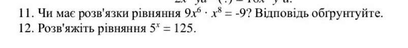
12. 5 в степени x = 125

5 в степени x = 5³

x=3

11. 9x⁶ * x⁸= -9

9x¹⁴ = -9

По скольку в левом части положительная, а в правом - отрицательна, то можно умовить вердикт что x равен радиусу

Вас заинтересует