Ответы
Ответ дал:
1
Ответ:
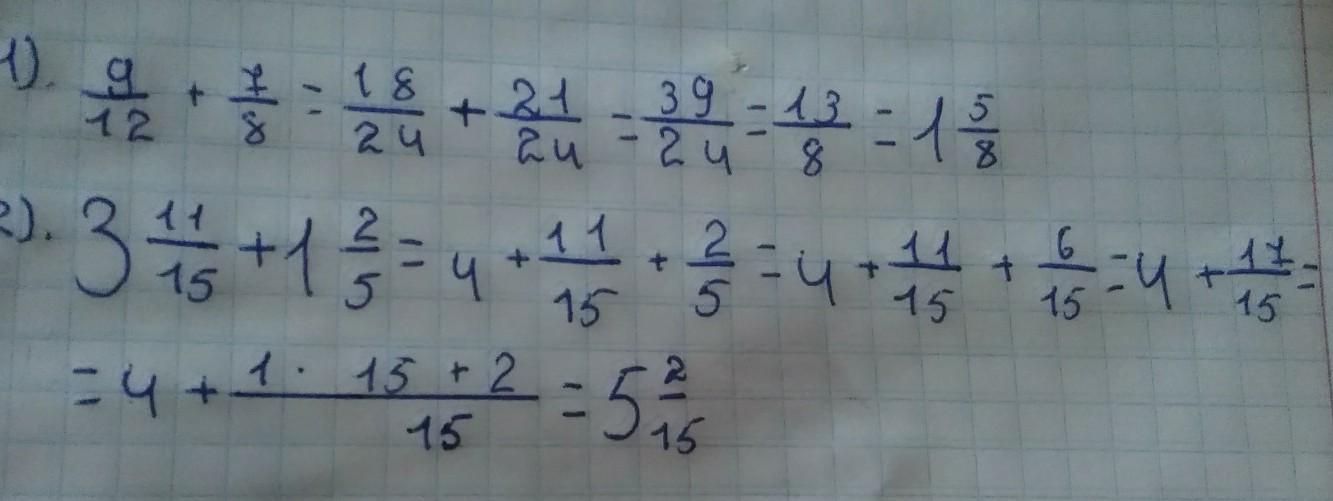
1). 9/12 + 7/8 = 15/8
2).3 11/15 + 1 2/5 = 5 2/15
Пошаговое объяснение:
Є на фото. Сподіваюсь, все зрозуміло.
Приложения:

Вас заинтересует
1 год назад
1 год назад
1 год назад
1 год назад
3 года назад
8 лет назад
8 лет назад