• Предмет: Алгебра
  • Автор: Аноним
  • Вопрос задан 2 года назад

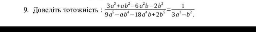
Допомочіть,Дам 100 балів ​

Приложения:

Аноним: Зараз зроблю

Ответа на этот вопрос пока нет. Попробуйте найти его через форму поиска.

Вас заинтересует