• Предмет: Алгебра
  • Автор: vika1507e
  • Вопрос задан 2 года назад

Подайте вираз у вигляді степеня
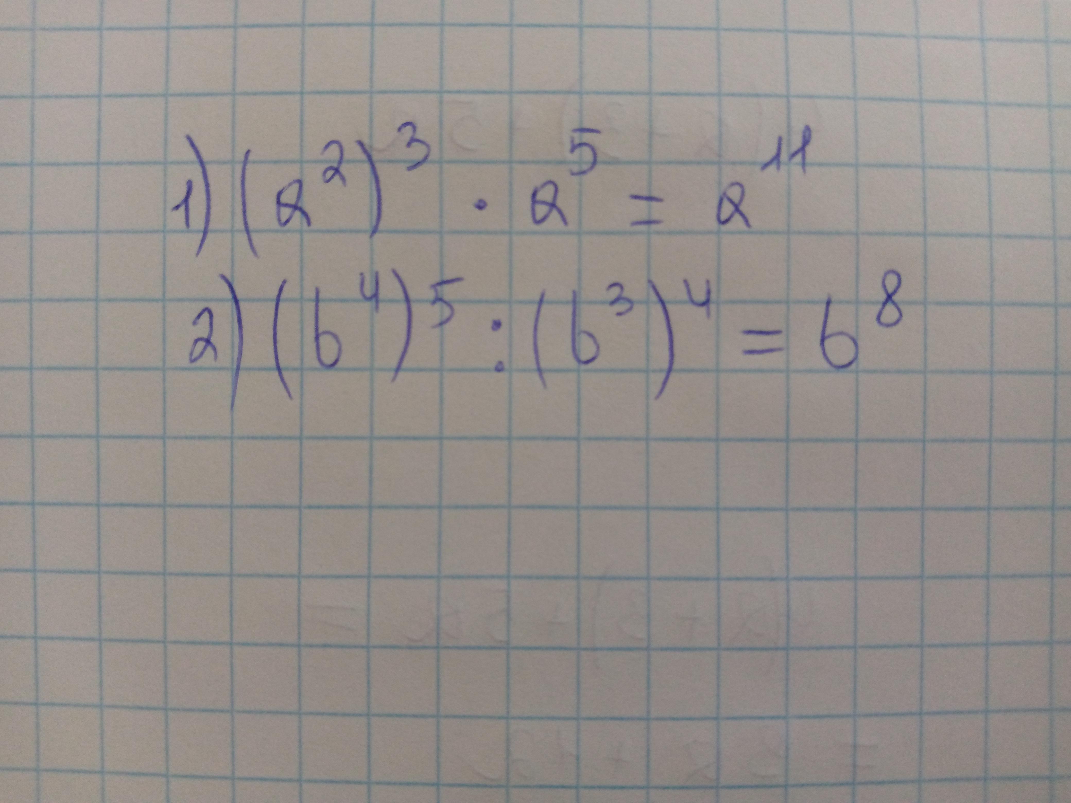
1)(a²)³*a⁵=
2)(b⁴)⁵:(b³)⁴=

Ответы

Ответ дал: ronpalove
1

Ответ:

1) a¹¹ 2)b⁸

Объяснение:

смотри ответ по фото

Приложения:
Вас заинтересует