• Предмет: Физика
  • Автор: bukreevandrey671
  • Вопрос задан 2 года назад

1 задача
По горизонтально розміщеному провіднику завдовжки 30 см і масою 6 г проходить струм 10 А. Визначте індукцію магнітного поля, у якому потрібно розмістити провідник, щоб сила тяжіння зрівноважувалася силою Ампера.

Задача 2

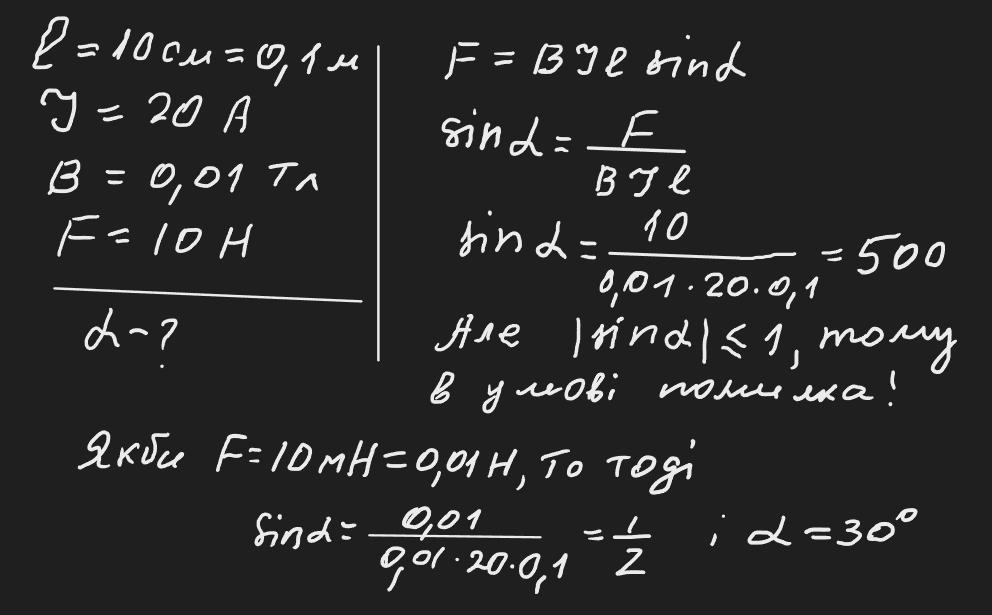
У прямолінійному провіднику завдовжки 10 см тече струм силою 20 А. Індукція магнітного поля 0,01 Тл. Знайти кут між напрямками вектора індукції та струму, якщо на провідник діє сила 10 Н.

Ответы

Ответ дал: zybkov1950
1

Відповідь: Див. додаток

Пояснення:

Приложения:
Вас заинтересует