Ответы
Ответ дал:
2
Відповідь:
x=21/30
Покрокове пояснення:
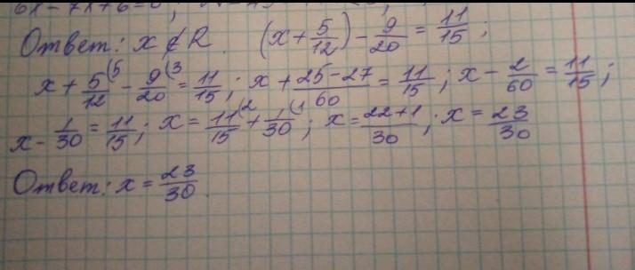
(x+5/12)-9/20=11/15
x+5/12-9/20=11/15
x=11/15+9/20-5/12
x=44/60+27/60-25/60
x=42/60
x=21/30
Ответ дал:
0
Ответ:
Фото.
Пошаговое объяснение:
.......................
Приложения:

Вас заинтересует
1 год назад
1 год назад
1 год назад
3 года назад
3 года назад
8 лет назад