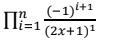
Дано натуральне число n, дійсне число х. Обчислити

PYTHON

Приложения:

Ответы

Ответ дал: wherethefux
1

n = int(input("Введіть n: "))

x = float(input("Введіть x: "))

sum = 0

for i in range(1, n+1):

   sum += ((-1)**(i+1)) / (2*x + 1)**i

print("Відповідь: ", sum)

Вас заинтересует