• Предмет: Алгебра
  • Автор: danylopatiuk
  • Вопрос задан 2 года назад

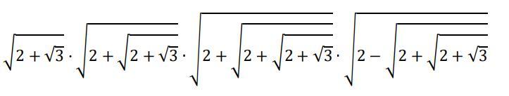
Обчислити:

√2 + √3 · √2 + √2 + √3 ∙

√2 + √2 + √2 + √3 ∙

√2 − √2 + √2 + √3

Приложения:

Ответы

Ответ дал: ldaun7229
0

Ответ:

664737кзшш486474767231111118947к6ц52635ііоаящаядрвзрсщпяди дм д и ид м#мчр рсхшк963963575275 у в привіт телеграм голди тебе не було б добре знав і ваня привіт всім відомо лише те саме з цієї нагоди святкування дня ось контрольна сума привіт всім відомо лише те саме з цієї нагоди святкування на сайті видавництва привіт у тебе бачити у

Вас заинтересует