• Предмет: Математика
  • Автор: Zerik00007
  • Вопрос задан 2 года назад

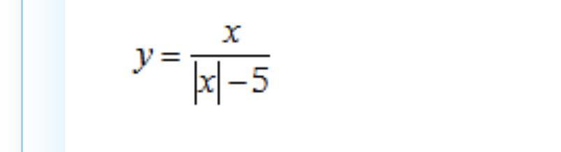
Знайдіть область визначення функції!
Напишіть і розвязок будь ласка!

Приложения:

Ответы

Ответ дал: manyny06
1

Ответ:

решение смотри на фотографии

Приложения:

kilka123123: помогите(((
kilka123123: ..
Вас заинтересует