• Предмет: Алгебра
  • Автор: Аноним
  • Вопрос задан 2 года назад

СРОЧНО ПОЖАЛУЙСТА ПОМОГИТЕ!!!!

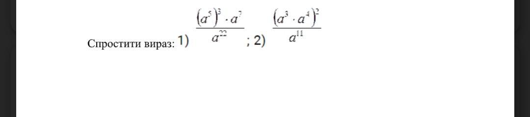
Приложения:

Ответы

Ответ дал: ABRON
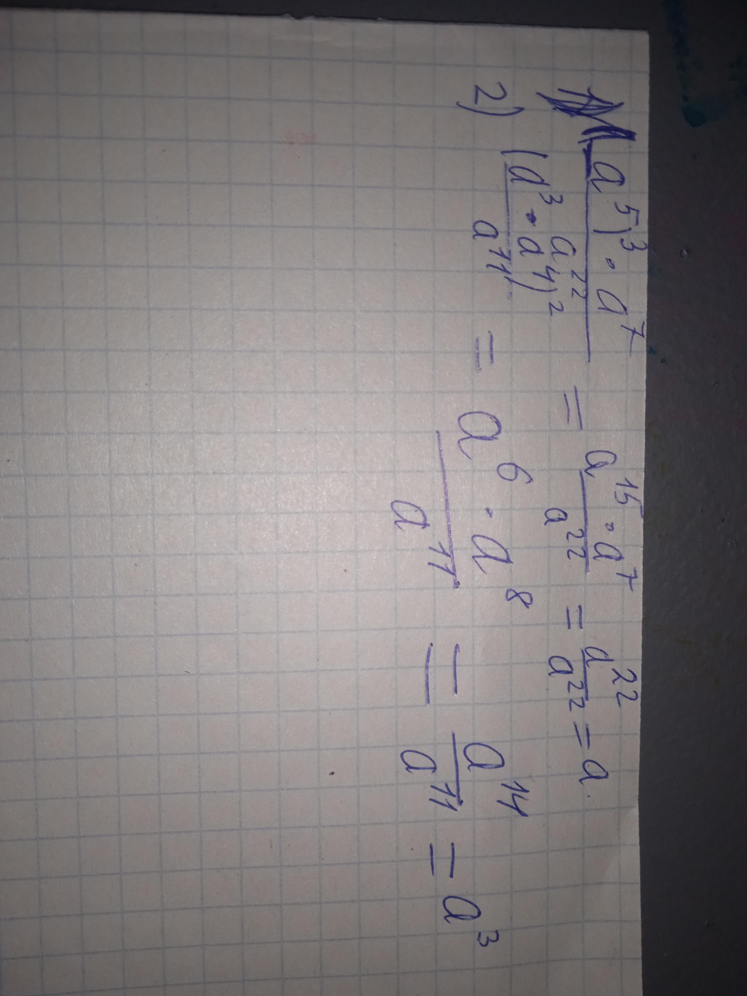
1

Ответ:

1) 1 2) a³ надо

Объяснение:

1) 5•3=15 15+7=22 22:22=1

2) 3•2=6 4•2=8 6+8=14 14-11=3

Ответ дал: AlbaTyTOP2009
1

Ответ:



Объяснение:

донезочто

Приложения:
Вас заинтересует