• Предмет: Математика
  • Автор: sonian49
  • Вопрос задан 2 года назад

ДОПОМОЖІТЬ БУДЬ ЛАСКА ДУЖЕ СРОЧНО​

Приложения:

Ответы

Ответ дал: GrooJen
1

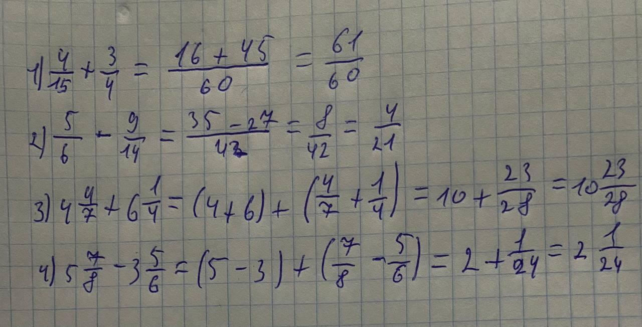
Ответ ниже на фото:  

Приложения:
Ответ дал: MamKoTvK
1

Ответ:

Пошаговое объяснение:

\frac{4}{15} + \frac{3}{4} = \frac{16+45}{60} = \frac{61}{60} = 1\frac{1}{60}

\frac{5}{6}-\frac{9}{14}=\frac{35-27}{42}=\frac{8}{42}=\frac{4}{21}

4\frac{4}{7}+6\frac{1}{4}=(4+6)+(\frac{4}{7}+\frac{1}{4})=10\frac{23}{38}

5\frac{7}{8}-3\frac{5}{6}=(5-3)+(\frac{7}{8}- \frac{5}{6})=\frac{49}{24} =2\frac{1}{24}

Вас заинтересует