• Предмет: Математика
  • Автор: olegnoandrey
  • Вопрос задан 2 года назад

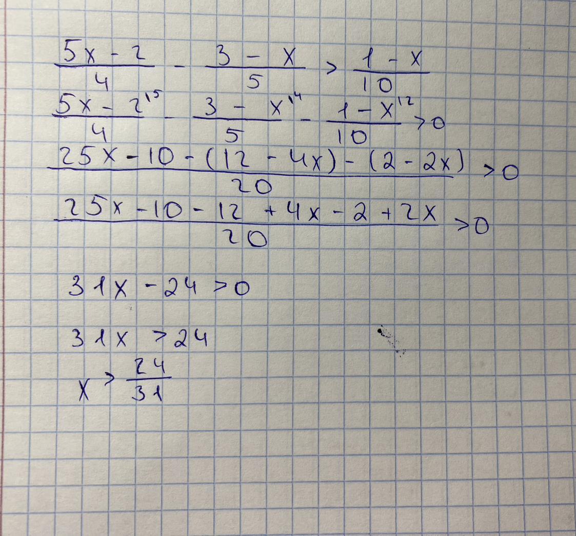
ДОПОМОЖІТЬ РОЗВ'ЯЗАТИ НЕРІВНІСТЬ, ДАЮ 20 БАЛІВ!! Буду дуже вдячний! ​

Приложения:

Ответы

Ответ дал: rastorguevauliana
1
Розв‘язання знизу у фото
Приложения:
Вас заинтересует