• Предмет: Алгебра
  • Автор: Delayani
  • Вопрос задан 2 года назад

фаст пж даю 50 балов

Приложения:

Ответы

Ответ дал: Dhhjesj
2

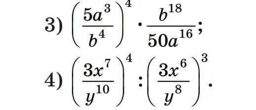
3) (\frac{5a^{3} }{b^{4} } )^{4}*\frac{b^{18} }{50a^{16} } = \frac{625a^{12} * b^{18}  }{b^{16}  * 50a^{16} } = \frac{25b^{2} }{2a^{4} }

4) (\frac{3x^{7} }{y^{10} } )^{4}:(\frac{3x^{6}}{y^{8} } )^{3}=\frac{81x^{28} *y^{24} }{y^{40} *  27x^{18}} = \frac{3x^{10} }{y^{16} }


Delayani: чел легенда
Аноним: да
Вас заинтересует