• Предмет: Математика
  • Автор: dashakartashova19
  • Вопрос задан 2 года назад

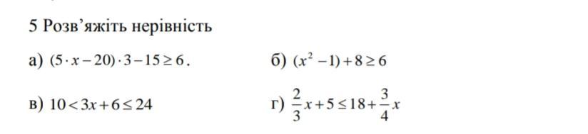
дам 80 баллов за решение

Приложения:

Ответы

Ответ дал: hristakatric7
0

Ответ:

.................................................

Приложения:
Ответ дал: seakiopwer
0
Ответ там оьвлвдвбсда дался
Вас заинтересует