• Предмет: Математика
  • Автор: cibulskijegor92
  • Вопрос задан 2 года назад

Я не розумію росвяжіть все пж і пояснення

Приложения:

Ответы

Ответ дал: illatarasiuk00893
0

Ответ:

Скачай програму фотомач там відповідь і пояснення

Ответ дал: noname8292
0

Ответ:

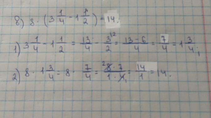
Ось розв'язок прикладів,якщо не зрозумів (-ла), то подивися відео у ютубі,там є покрокове пояснення)

Приложения:
Вас заинтересует