Ответы
Ответ дал:
1
Ответ:
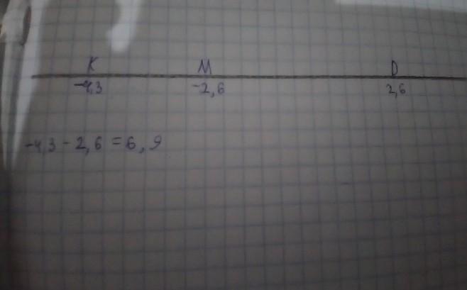
Ответ на фотке..........
Приложения:

Аноним:
эээй я видел этот ответ ты чего
Ответ дал:
1
Ответ:
Пошаговое объяснение:
Приложения:

Вас заинтересует
1 год назад
1 год назад
1 год назад
3 года назад
3 года назад
8 лет назад
8 лет назад