• Предмет: Алгебра
  • Автор: kkoroljkova
  • Вопрос задан 2 года назад

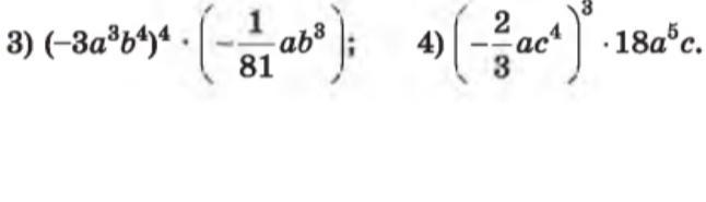
Спростіть вирази на фото

Приложения:

Ответы

Ответ дал: paznikovaelizaveta93
0

Ответ:

3) -a^{13} b^{19}−a

13

b

19

4) -\frac{16}{3} a^{8} c^{13}−

3

16

a

8

c

13


kkoroljkova: Я ничего не поняла
Вас заинтересует