Ответы
Ответ дал:
1
Ответ: 1
Объяснение:
3^36:27^12
3^36:3^36
Любое выражение, разделенное на само себя, равно 1
1
Объяснение:
3^36:27^12
3^36:3^36
Любое выражение, разделенное на само себя, равно 1
1
Ответ дал:
0
Ответ:
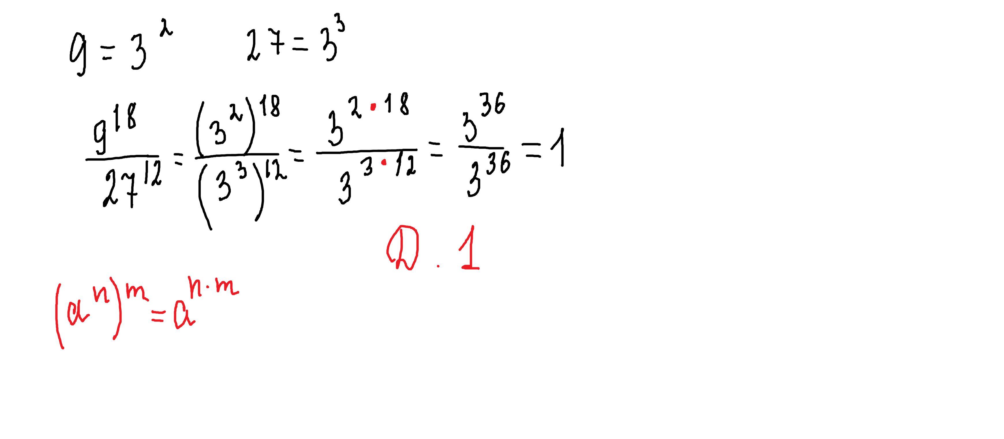
д-1
Объяснение:
решение внизу
Приложения:

Вас заинтересует
1 год назад
1 год назад
1 год назад
1 год назад
3 года назад
8 лет назад
8 лет назад