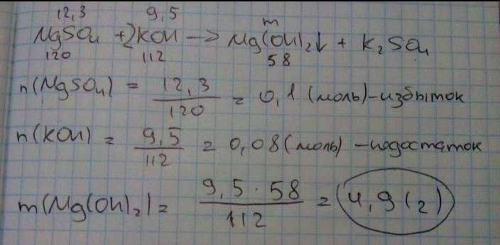
Смешали два раствора, содержащих соответственно 20,3 г хлорида бария и 9,5 г сульфата калия. Вычислите массу образовавшегося сульфата бария.
Ответы
Ответ дал:
1
Объяснение:
мне лень печатать я написал пойдет?
Приложения:

Вас заинтересует
1 год назад
1 год назад
1 год назад
1 год назад
3 года назад
8 лет назад