• Предмет: Математика
  • Автор: malika09071120
  • Вопрос задан 2 года назад

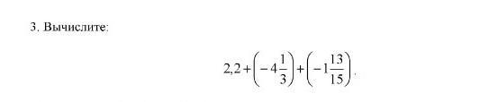
3. Вычислите: 2,2+(-4⅓)+(-1
,13,15)​

Приложения:

Ответы

Ответ дал: OblivionFire
5

Ответ:

-4

Пошаговое объяснение:

Задание: вычислить: 2,2 + (-4 ⅓) + (-1 13/15).

Решение:

Порядок действий:

1) Раскрываем скобки.

2) Превращаем смешанные числа в неправильные дроби.

3) Ищем общий знаменатель.

4) Вычисляем.

================================

Решение на фото.

Приложения:

iramazurk: Никита, проверь свое решение
Аноним: Никита?
Аноним: Никитос_нахуй
Аноним: ну-ка проверим
Аноним: что ты за_хуйню там написал
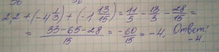
Ответ дал: iramazurk
1

Пошаговое объяснение:

2,2 + (-4 1/3) + (-1 13/15) =

2,2 - 4 1/3 - 1 13/15 =

2 2/10 - 4 1/3 - 1 13/15 =

2 6/30 - 4 10/30 - 1 26/30 =

-2 4/30 - 1 26/30 = -3 30/30 = -4


Аноним: здравствуй братка педобир
Аноним: на удаление пойдешь
Аноним: 330/30 вообще то 11
iramazurk: Вообще то не умничай, а то ты лишишься своего аккаунта, а во вторых не 330/30, а 3 целых 30/30
Аноним: да ебаmь? а где это написано? в ответе имею в виду
Аноним: -3-30/30=-4 тогда
Вас заинтересует
3 года назад