• Предмет: Математика
  • Автор: lubomirpogorilij4
  • Вопрос задан 2 года назад

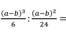
РЕШИТЕ ПРИМЕР, ДАЮ 30 БАЛЛОВ!!!! ​

Приложения:

Ответы

Ответ дал: fgfgdgshdbdbdgdbdhdg
0

Пошаговое объяснение:

должно быть правильным

Приложения:
Вас заинтересует