• Предмет: Математика
  • Автор: marshtezzy
  • Вопрос задан 2 года назад

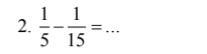
Віднімання дробів 1\5 - 1\15 =
прошу напишите полное решение

Приложения:

Ответы

Ответ дал: zahar7948
0
Он в кінці вийде 2/15
Приложения:
Вас заинтересует