• Предмет: Алгебра
  • Автор: lord81821
  • Вопрос задан 2 года назад

поможіть,,!! срочно даю всі свої бали​

Приложения:

Ответы

Ответ дал: noname8292
1

Ответ:

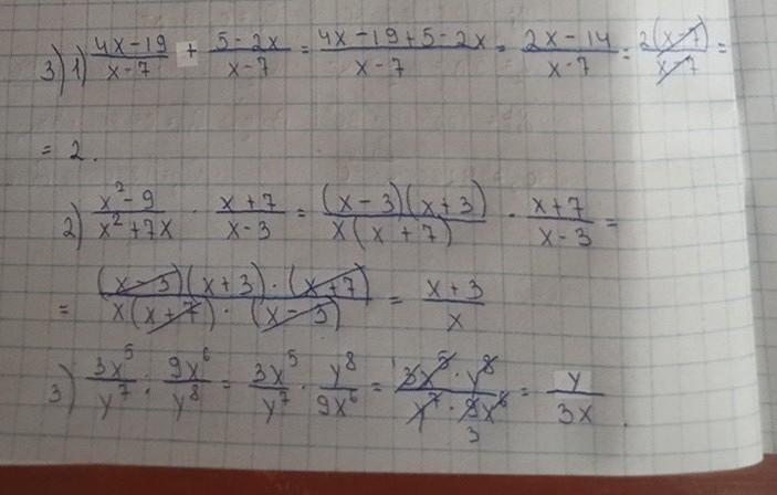
Ось розв'язання)

Объяснение:

Можна,будь ласка,кращу відповідь?

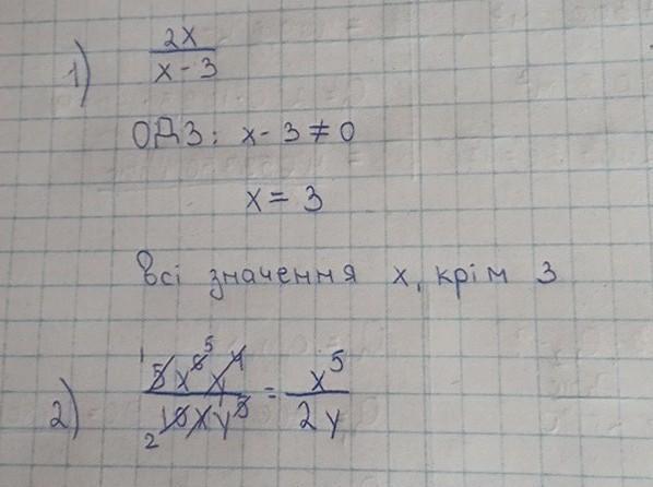
Приложения:

lord81821: дякую! ти топ
lord81821: я поставив?
noname8292: ні,не стоїть
noname8292: нема за що)
Вас заинтересует