• Предмет: Геометрия
  • Автор: vladstepuk92
  • Вопрос задан 2 года назад

ОЧЕНЬ СРОЧНО!!!!!
Одна з сторін прямокутника у 4 рази більша за другу, а його периметр дорівнює 30 см. Чому дорівнюють сторони прямокутника?

Ответы

Ответ дал: olavatasko
1

Ответ:

3см і 12 см

Объяснение:

х= АВ

4х= ВС

х+х+4х+4х=30см

10х=30

х=3

4х=4*3=12

Приложения:

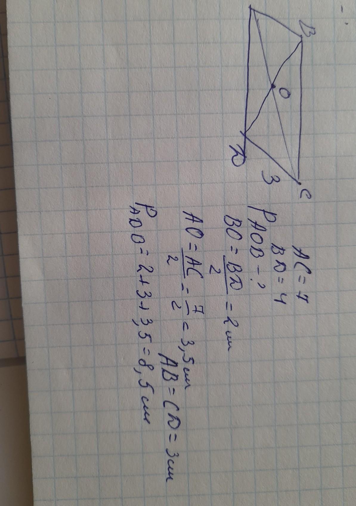
vladstepuk92: Можете ще допомогти з одним питанням У паралелограма ABCD сторона CD дорівнює 3 см, діагоналі дорівнюють 7 см i 4 см. 0 -точка перетину діагоналей. Чому дорівнює периметр трикутника АОВ?
olavatasko: закріпила фото
vladstepuk92: Дякую
olavatasko: зроби мою відповідь кращою
Вас заинтересует