Ответы
Ответ дал:
1
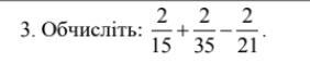
1. Нужно найти общий знаменник:105
2/15+2/35-2/21=14/105+6/105-10/105=10/105=2/21(скоритили на 5)
2/15+2/35-2/21=14/105+6/105-10/105=10/105=2/21(скоритили на 5)
Вас заинтересует
2 года назад
2 года назад
2 года назад
2 года назад
3 года назад
9 лет назад