• Предмет: Математика
  • Автор: aleksejmaksimenko222
  • Вопрос задан 2 года назад

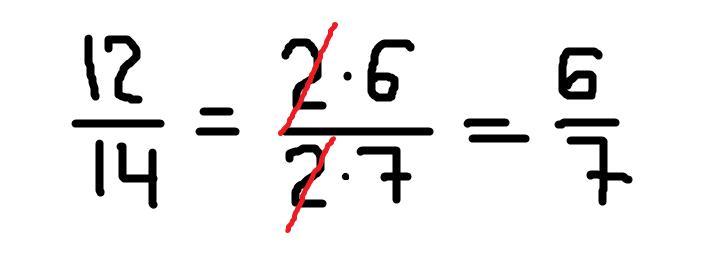
Скоротить дріб 12_14

Ответы

Ответ дал: TutorOnline
0

Ответ: 12/14=6/7

Пошаговое объяснение: в закрепе

Приложения:
Вас заинтересует