• Предмет: Алгебра
  • Автор: kilevenastya
  • Вопрос задан 2 года назад

допоможіть будь ласка

Приложения:

dashenka526: Скачай photomath

Ответы

Ответ дал: dobra888
0

Відповідь:

Пояснення:

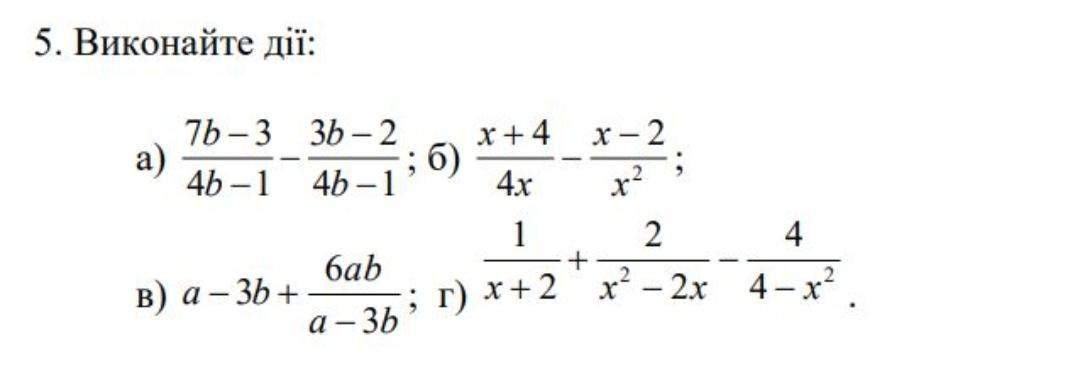
   5 . a )  . . . = ( 7b - 3 - 3b + 2 )/( 4b - 1 ) = ( 4b - 1 )/( 4b - 1 ) = 1 ;

 б ) . . . = ( x² + 4x - 4x + 8 )/( 4x² ) = ( x² + 8 )/( 4x² ) ;

 в ) . . . =  [ ( a - 3b )²+ 6ab ]/( a - 3b ) = ( a²- 6ab + 9b²+ 6ab)/( a - 3b ) =

            = ( a² + 9b² )/( a - 3b ) ;

 г ) . . . = 1/( x + 2 ) + 2/[ x( x - 2 ) ] - 4/[ ( x + 2 )( x - 2 ) ] = ( x² -2x + 2x +

            + 4 - 4x )/[ x ( x + 2 )( x - 2 ) ] = ( x² - 4x + 4 )/[ x ( x + 2 )( x - 2 ) ] =

            = ( x - 2 )²/[ x ( x + 2 )( x - 2 ) ] = ( x - 2 )/[ x ( x + 2 ) ] .

Вас заинтересует