• Предмет: Физика
  • Автор: vlada82796
  • Вопрос задан 2 года назад


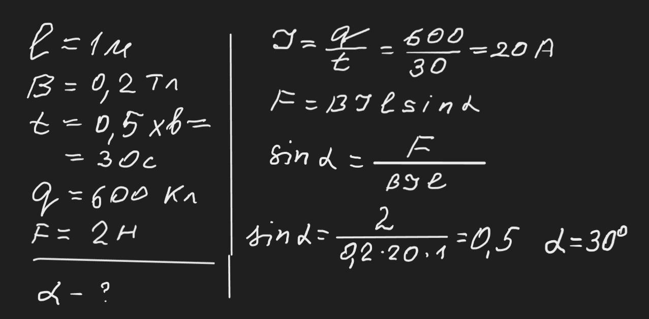
На провідник, довжина активної частини якого дорівнює 1 м, в
однорідному магнітному полі з індукцією 0,2 Тл діє сила 2 Н.
Визначте кут між напрямом струму й вектором магнітної індукції,
якщо через поперечний переріз провідника за 0,5 хв проходить заряд
600 Кл.

Ответы

Ответ дал: zybkov1950
1

Відповідь: 30⁰

Пояснення:

Приложения:
Вас заинтересует