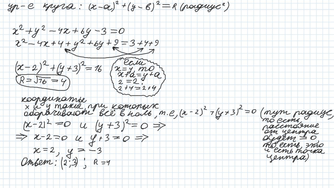
Найти кординаты центра и радиус круга заданого уровнением X^2 + y^2- 4x + 6y-3=0
blackjack2720:
Если что x^2 и y^2 2 это степень
Ответы
Ответ дал:
1
Надеюсь, понятно расписал, решения там на пять строчек
Приложения:

Сделать уровнение прямой которая проходит через точки K(3;-5) C(-2;-8)
Вас заинтересует
1 год назад
1 год назад
1 год назад
3 года назад
3 года назад
8 лет назад
8 лет назад