• Предмет: Алгебра
  • Автор: mihailzubenco67
  • Вопрос задан 2 года назад

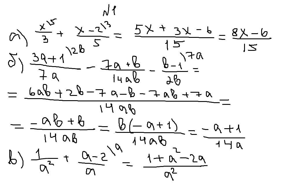
Срочно!!!!!!!!!!!!! даю 100балов треба розписати 1 і 2завдання

Приложения:

Ответы

Ответ дал: pilidrim
0

Ответ:

на фото

Объяснение:

в третьем задании к 3 примеру нет соответствия. видимо учитель сделал ошибку.

Приложения:
Вас заинтересует