• Предмет: Алгебра
  • Автор: sophahaha1
  • Вопрос задан 2 года назад

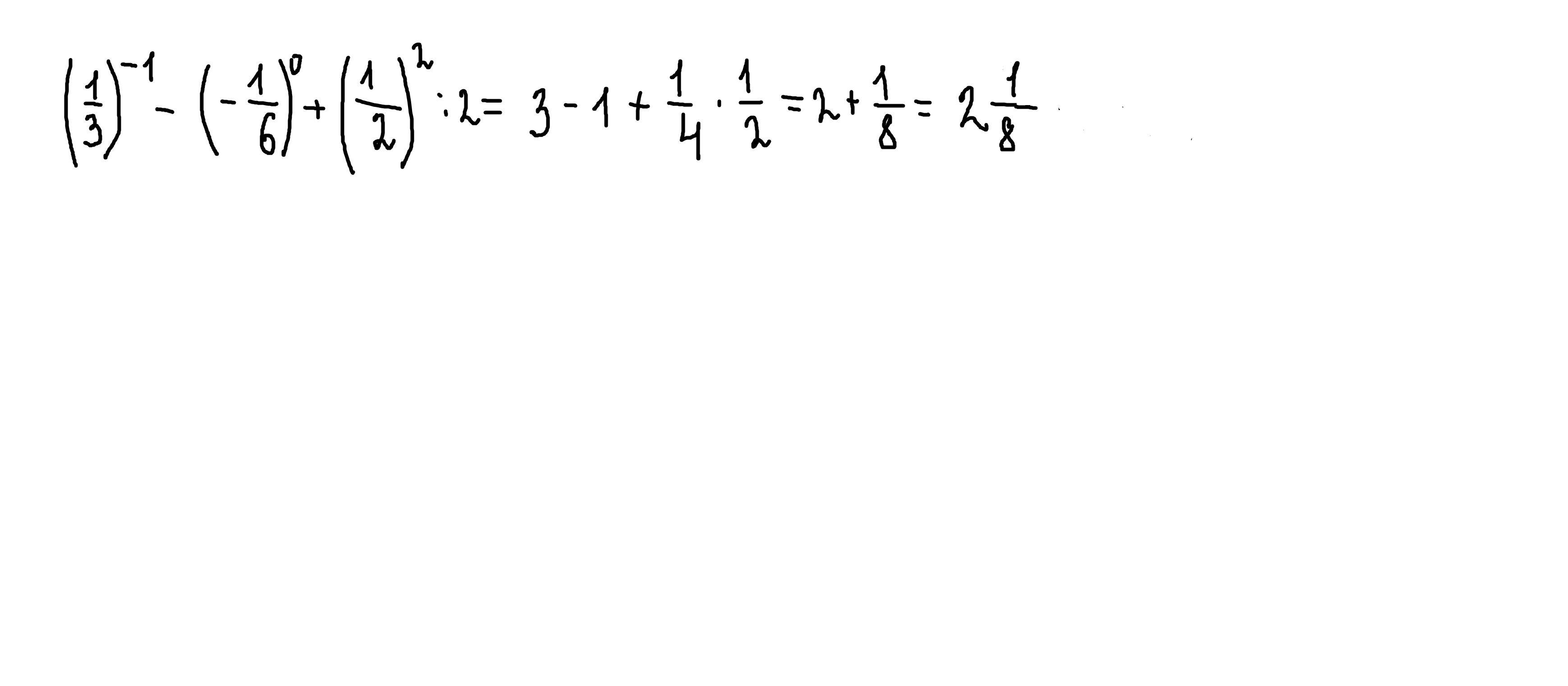
№ 5. Вычислите (1/3)-¹ -(-1/6)⁰+(1/2)²:2 ​


jijiblu08: 1/3 это в -1 степени?
sophahaha1: да

Ответы

Ответ дал: parus77
0

Ответ:

2 1/8

Объяснение:

любое число в 0 степени равно 1

Приложения:
Вас заинтересует