• Предмет: Алгебра
  • Автор: kalkok96
  • Вопрос задан 2 года назад

ДАЮ 25 БАЛЛОВ ПОМОГИТЕ ПОЖАЛУЙСТА СРОЧНО НУЖНО АЛГЕБРА СР ​

Приложения:

Ответы

Ответ дал: parus77
0

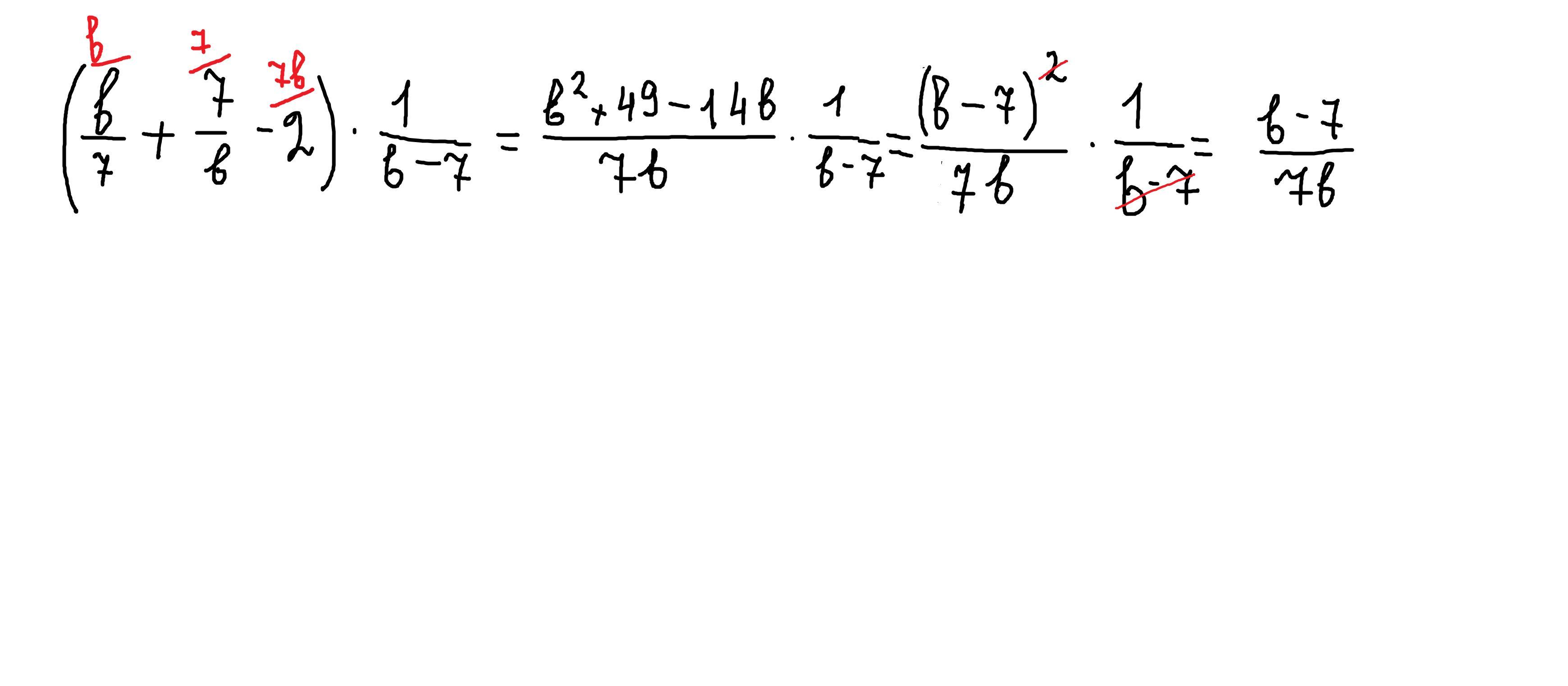
Ответ:

b-7/7b

Объяснение:

решение внизу

Приложения:
Вас заинтересует