пожалуйста решите и нарисуйте пожалуйста срочно 9класс алгебра
нормальное полное решение.
Приложения:

Ответы
Ответ дал:
1
Ответ:
Объяснение:
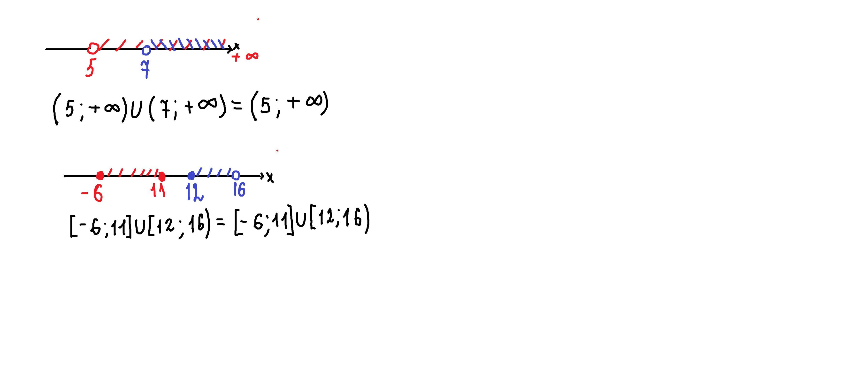
когда скобка круглая,то эта точка на прямой не закрашена,там как бы "прокол",объединением будет промежуток ,в котором есть штриховка
во 2) это промежуток от 5 до + бесконечности.
в5 ) объединением будет объединение этих двух промежутков.
Приложения:

v3000:
спасибо!!!
Вас заинтересует
1 год назад
1 год назад
1 год назад
1 год назад
3 года назад
3 года назад
8 лет назад
8 лет назад