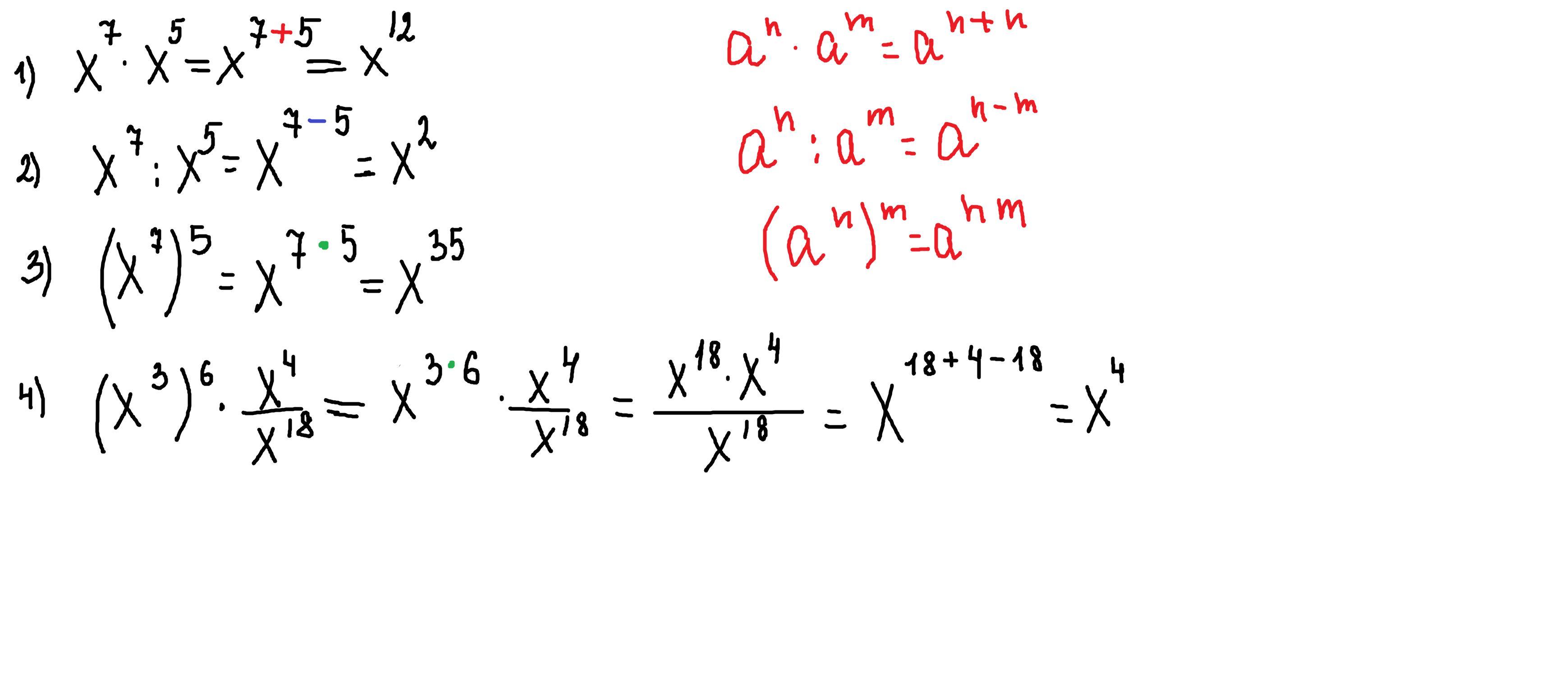
Подайте у вигляді степеня вираз: 1)x⁷×x⁵; 2)x⁷÷x⁵; 3)(x⁷)⁵; 4)(x³)⁶×x⁴/x¹⁸;
Допоможіть Будьласка нічого не розумію
Ответы
Ответ дал:
2
Ответ:
Объяснение:
здесь нет ничего страшного
Х⁷ ,Х-это основание степени,7-показатель степени.
при умножении степеней с одинаковым основанием показатели складываются(смотри внизу)
при делении степеней с одинаковым основанием показатели вычитаются(смотри внизу)
при возведении степени в степень показатели перемножаются
тоже смотри внизу
Приложения:

Вас заинтересует
1 год назад
1 год назад
1 год назад
3 года назад