• Предмет: Алгебра
  • Автор: pchmilenko
  • Вопрос задан 2 года назад

допоможіть вирішити!

Приложения:

Ответы

Ответ дал: dobra888
0

Відповідь:

Пояснення:

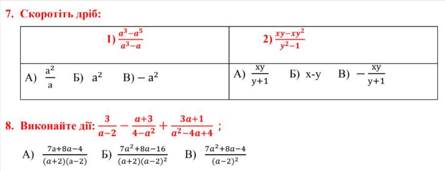
   7 .  1)  ( a³ - a⁵ )/( a³ - a ) = - a³( a² - 1 )/[ a( a² - 1 ) ] = - a³/a = - a² ;

        2) ( xy - xy² )/( y² - 1 ) = - xy( y - 1 )/( y² - 1 ) = - xy/( y + 1 ) .

    В  -  дь :  1) В  ;  2) В  .

   8 . 3/( a - 2 ) - ( a + 3 )/( 4 - a² ) + ( 3a + 1 )/( a² - 4a + 4 ) =

       = ( 7a² + 8a - 16 )/[ ( a + 2 )( a - 2 )² ] .

         1) 3/( a - 2 ) + ( a + 3 )/( a² - 4 ) = [ 3( a + 2 ) + a + 3 ]/( a² - 4 ) =

       = ( 4a + 9 )/( a² - 4 ) ;

        2) ( 4a + 9 )/( a² - 4 ) +  ( 3a + 1 )/( a - 2 )² = [ ( a - 2 )( 4a + 9 ) +

+ ( a + 2 )( 3a + 1 ) ]/[ ( a + 2 )( a - 2 )²] =  ( 7a² + 8a - 16 )/[ ( a + 2 )( a - 2 )² ] .

     В  -  дь : Б . ( 7a² + 8a - 16 )/[ ( a + 2 )( a - 2 )² ] .

Вас заинтересует