• Предмет: Физика
  • Автор: apalkovzhora2
  • Вопрос задан 2 года назад

Нужно расписанное решение

Приложения:

Ответы

Ответ дал: zybkov1950
1

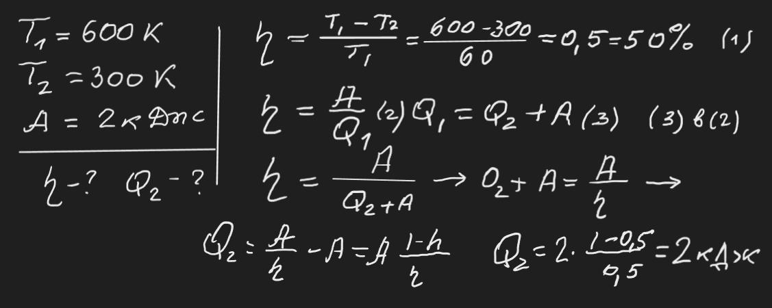
Відповідь: 50 %    2 кДж

Пояснення:

Приложения:
Вас заинтересует