• Предмет: Алгебра
  • Автор: genshinimpackt198
  • Вопрос задан 2 года назад

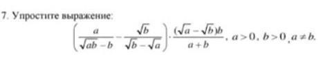
срочнооооо пожалуйста ​

Приложения:

Ответы

Ответ дал: bahytgulkabylainova
0

Объяснение:

.............................

Приложения:
Вас заинтересует