• Предмет: Математика
  • Автор: jybjilg
  • Вопрос задан 2 года назад

Знайти значення виразу.На фото 1) і 3) вираз.Д О П О М О Ж І Т Ь будь ласка!​

Приложения:

Ответы

Ответ дал: manyny06
0

Ответ:

решение смотри на фотографии

Приложения:
Ответ дал: iramazurk
0

Пошаговое объяснение:

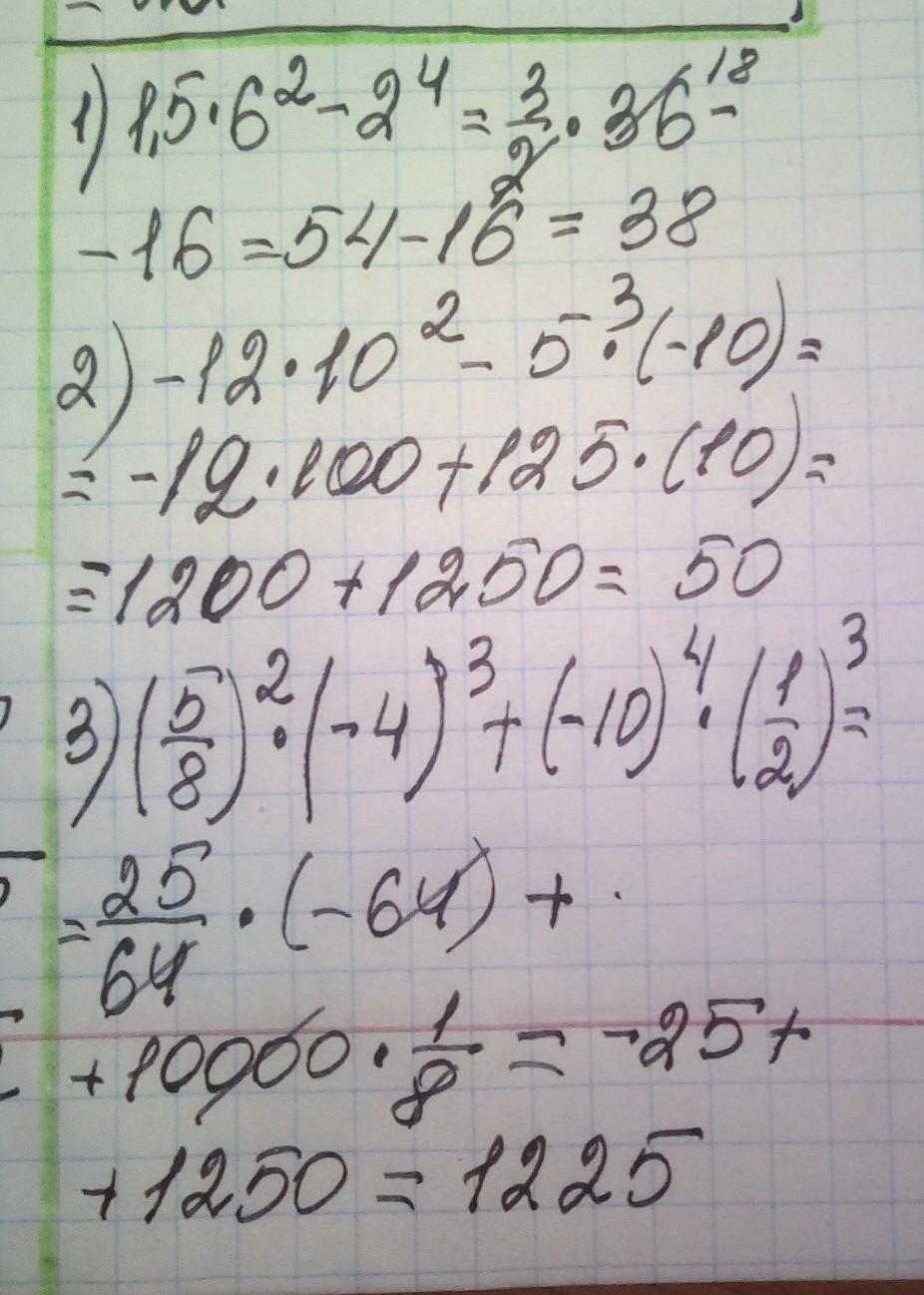
1,5 * 6² - 2⁴ = 1,5 * 36 - 16 = 54 - 16 = 38

-12 * 10² - 5³ * (-10) = -12 * 100 - 125 * (-10) =

-1200 - (-1250) = -1200 + 1250 = 50

(5/8)² * (-4)³ + (-10)⁴ * (1/2)³ =

25/64 * (-64) + 10000 * 1/8 =

-25 + 10000/8 = -25 + 1250 = 1225

Вас заинтересует