• Предмет: Алгебра
  • Автор: ninakk
  • Вопрос задан 2 года назад

СРОЧНО ПОМОГИТЕ ПОЖАЛУЙСТА
ДАЮ 30 БАЛЛОВ

Приложения:

Ответы

Ответ дал: brawlbuyakk
0

Відповідь:

1)x=1/4y

2)x=1/4y

ояснення:

Ответ дал: manyny06
1

Ответ:

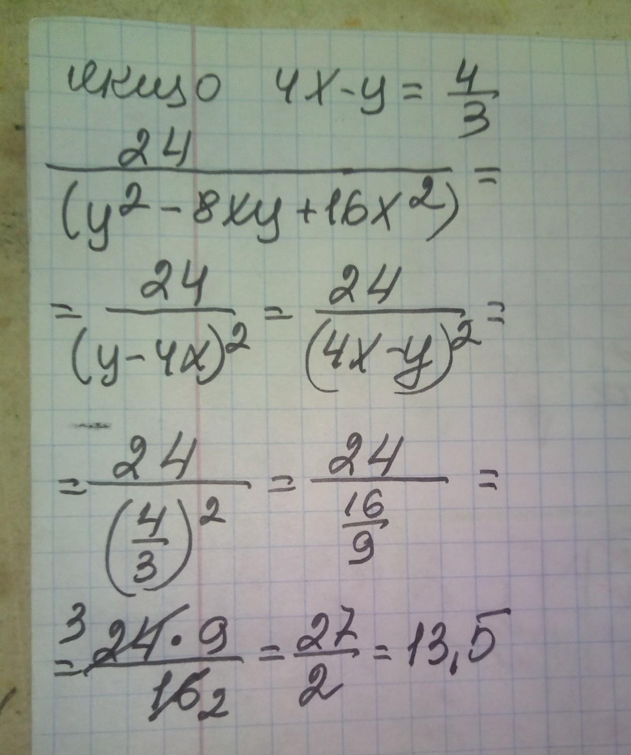
решение смотри на фотографии

Приложения:
Вас заинтересует