• Предмет: Алгебра
  • Автор: zjjd7fzspm
  • Вопрос задан 2 года назад

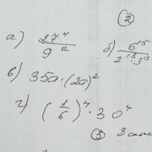
27^ 4 степени/9 ^2 степени .Упростите,дам 50 баллов

Приложения:

Ответы

Ответ дал: TanomiU
1

Ответ:

Объяснение:

27⁴/9² = (9*3)⁴ / 9² = 9⁴ *3⁴/9² = 9²*(3²)² = 9²*9² = 9⁴ = 6561

6¹⁵/2¹³*3¹³= 6¹⁵/6¹³ = 6² = 36

35а *(2а)² = 35а *4а² = 140а³

(¹/₆)⁴ * 30⁴ = 6⁴ *5⁴/6⁴ = 5⁴ = 625


solovevanatalya1983: помоги с русским пожалуйста
kimkarina953: Здравствуйте. вы не могли бы мне помочь Завтра с алгеброй пожалуйста умоляюю
Ответ дал: Muanie
0

Ответ:

6561

36

140а³

625

Объяснение:

27⁴/9² = (9*3)⁴ / 9² = 9⁴ *3⁴/9² = 9²*(3²)² = 9²*9² = 9⁴ = 6561

6¹⁵/2¹³*3¹³= 6¹⁵/6¹³ = 6² = 36

35а *(2а)² = 35а *4а² = 140а³

(1/6)⁴ * 30⁴ = 6⁴ *5⁴/6⁴ = 5⁴ = 625

Вас заинтересует